- Горячие темы:
- Коммуналка
- Тесты bigmir)net
Экспорт украинских товаров в ЕС вырос на 5%
В первом полугодии 2019 года экспорт украинских товаров в Евросоюз составил 10 миллиардов 284 миллионов 296,9 тысяч долларов. Рост экспорта относительно первого полугодия прошлого года составил 5%. Соответствующие данные опубликовала Государственная служба статистики во вторник, 20 августа.
Читай также: В НБУ назвали причины ускорения роста экономики
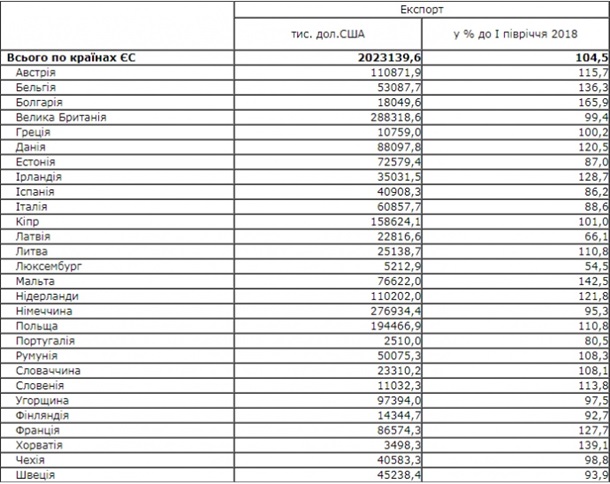
Торговля услугами за последние полгода составила 2 миллиарда 23 миллиона 139,6 тысяч долларов. Рост относительно первого полугодия 2018 года - 4,5%. Стоит отметить, что темпы роста экспорта украинских товаров в Евросоюз в 2018 году составили 15%.

Ранее в Нацбанке заявили, что во втором полугодии 2019 года экономика Украины будет выглядеть немного лучше, чем ожидалось.
Как известно, в 2018 году рост экономики Украины ускорился до 3,6% с 2,5% в 2017 году и побил рекорд за семь лет.
Хотите знать важные и актуальные новости раньше всех? Подписывайтесь на Bigmir)net в Facebook и Telegram.















